|
|
|
|
|
|
|
WEAVER++ (Word Encoding by Activation and VERification) is a computational model designed to explain how we, homo loquens, plan the production of spoken words (also called word finding, word retrieval, or lexical access); how the language planning relates to other mental abilities, including perception, movement, memory, thought, and in particular, attention (these being mental faculties traditionally acknowledged, see Charles Spearman, The Abilities of Man, 1927, and Jerry Fodor, The Modularity of Mind, 1983); and how word planning is disrupted by brain damage, due to stroke or neurodegenerative disease. The model tries to make explicit the many strands of declarative knowledge ("knowing that") that must be woven together using procedural knowledge ("knowing how") and the different mixtures of strands used in different word production tasks. The model falls into the general class of hybrid models of human performance in that it combines a declarative associative network and procedural rule system with retrieval from declarative memory through spreading activation and activation-based rule triggering (cf. ACT-R of John Anderson and colleagues). The distinction between declarative and procedural knowledge in word planning is reminiscent of the distinction between mental contents and acts advanced by Oswald Külpe based on the work of his Würzburg group in the early 1900s, and it is supported by accumulating empirical evidence on language production (e.g., Pim Levelt's 1989 Speaking; see also the work of Michael Ullman and colleagues). Milestones in the history of the distinction include Brenda Milner’s (1962) study on mirror-drawing by patient H.M., computational work in Artificial Intelligence in the 1970s (e.g.,Terry Winograd, 1975), and Neil Cohen and Larry Squire’s (1980) study on mirror-reading by amnesic patients. The WEAVER++ model plans spoken words by activating, selecting, and connecting (weaving together) types of verbal information. |
|
WEAVER++ gives detailed
accounts of response time (RT) findings on spoken word production, obtained within a research tradition originating with Frans Donders, James McKeen Cattell, and John Ridley Stroop. Click on the icons above for more information on mental chronometry and for an interactive demo of the color-word Stroop test. WEAVER++ has also been applied to eye
tracking and neuroimaging findings (i.e., electrophysiological as well as hemodynamic evidence). Moreover, the model has been applied to evidence on response accuracy in impairments, obtained within a research tradition originating with aphasiologists like Carl Wernicke and Arnold Pick.
The
Roelofs, A. (2014). A dorsal-pathway account of aphasic language production: The WEAVER++/ARC model. Cortex, 59, 33-48. Article (PDF 1339K) Roelofs, A. (2018). A unified computational account of cumulative semantic, semantic blocking, and semantic distractor effects in picture naming. Cognition, 172, 59-72. Article (PDF 574K) Roelofs, A. (2022). A neurocognitive computational account of word production, comprehension, and repetition in primary progressive aphasia. Brain and Language, 227, 105094. Article (PDF 2399K) The model has been developed for Germanic languages like Dutch and English, but also model versions for Mandarin Chinese and Japanese have been made.
The WEAVER++ model takes position regarding a number of big questions in the history of psychology, such as the issue of imageless thought (i.e., the question of whether abstract concept representations exist or only perceptual and motor representations, nowadays called embodied cognition) and the issue of mental set (i.e., how goals direct processing, which is through procedural if-then rules, according to the model). For a description of the roots of these issues in psychological science, see the classic book Experimental Psychology by Robert Woodworth (1938).
Horizontal and vertical threads
Accumulating evidence suggests that linguistic processes underlying the planning of words cannot happen without paying some form of attention. Or as Adolf Kussmaul put it in Die Störungen der Sprache (1877), language processes proceed semi-automatically ("halb automatisch").
A central claim embodied by WEAVER++ is
that the attentional control of language performance is achieved through condition-action rules
(cf. EPIC of David Meyer and
David Kieras) rather than purely associatively. WEAVER++'s lexical network is
accessed by spreading activation while the condition-action rules determine
what is done with the activated lexical information depending on the task.
When a goal is specified in working memory, the processing of the system
is focussed on those rules that include the goal among their conditions.
WEAVER++ plans words by incrementally extending verbal goals, i.e., lemmas are selected for selected lexical concepts, morphemes for selected lemmas, segments for selected morphemes, and syllable motor programs for selected and syllabified segments, whereby the syllabification of segments proceeds incrementally from the beginning of a word to its end. The idea of incrementality in language production originates with Wilhelm Wundt. Furthermore, WEAVER++ is an attempt at incremental or cumulative modeling, i.e., an attempt to extend a model in new directions and to new phenomena by building on earlier modeling results.
Multiple memory systems
The model makes explicit how three major memory systems of the brain, i.e., declarative, procedural, and working memory, interact during spoken word planning. When a goal (e.g., to name a picture) is temporarily maintained in working memory, information to achieve the goal is retrieved from long-term declarative memory through the application of condition-action rules from long-term procedural memory. Below, this is further explained. For comprehensive discussions of the brain systems for declarative, procedural, and working memory, see the books From Conditioning to Conscious Recollection: Memory Systems of the Brain by Howard Eichenbaum and Neil Cohen (2001) and The Cognitive Neuroscience of Memory: An Introduction by Howard Eichenbaum (2012).
Varieties of attention
Attention is an umbrella term covering a number of abilities, such as alerting (brief or sustained), orienting (with or without gaze shifting), and executive control, also called executive attention, attentional control, or cognitive control (see the work of Michael Posner and colleagues, reviewed by Posner in his 2012 book Attention in a Social World). Moreover, executive control consists of a number of abilities, including updating, inhibiting, and shifting (see the work of Akira Miyake and colleagues). These executive abilties are related to the more traditional notions of divided attention (between tasks), selective attention, and attention switching (between tasks). Selective attention includes the ability to resolve conflict among competing types of information, which can be achieved by enhancing the activation of targets, inhibiting competitors, or both.
Moreover, in performing tasks
requiring selective attention, such as the color-word Stroop task (e.g., name
the ink color of the word GREEN; say
"red") or the picture-word interference task (e.g., name a picture of a cat with the word DOG superimposed; say "cat"), WEAVER++ may employ two additional mechanisms of selective attention, referred
to as "stimulus set" and "response set" by Donald Broadbent (Decision and Stress book, 1971).
Stimulus set ("filtering") refers to selection on the basis of a perceptual
attribute, such as spatial location, color, shape, or temporal order.
Response set refers to selection on the basis of the vocabulary of allowable
responses. Task performance may require one or both of these mechanisms of selective attention:
Roelofs, A. (2003). Goal-referenced selection of verbal action: Modeling attentional control in the Stroop task. Psychological Review, 110, 88-125. Article (PDF 585K)
From Wernicke to WEAVER++
In the early days of experimental
psychology, Wilhelm Wundt (1902/1904, Principles of
Physiological Psychology book) criticized the now classic, associative
Wernicke-Lichtheim model of word production and perception by arguing that
the retrieval of words from memory is an active goal-driven process rather
than a passive associative process, as held by the model. According to Wundt,
an attentional process in the frontal lobes of the human brain
controls a word perception and production network located in perisylvian
brain areas, described by the Wernicke-Lichtheim model. WEAVER++ builds in
many respects on the Wernicke-Lichtheim model, but also addresses Wundt's
critique by implementing assumptions on how the production-perception network
is controlled. Characteristics of language performance, such as latencies and
errors, arise from interactions between the lexical network and the attentional control
system. For example, patterns of speech errors by aphasic and nonaphasic
speakers seem determined, at least in part, by self-monitoring, which is an
important attentional control function:
Roelofs, A. (2011). Modeling
the attentional control of vocal utterances: From Wernicke to
WEAVER++. In J. Guendouzi, F. Loncke, & M. J. Williams (Eds.), The Handbook of Psycholinguistic and
Cognitive Processes: Perspectives in Communication Disorders (pp. 189-207). Hove, UK: Psychology Press. Article (PDF 1464K)
Roelofs, A. (2004). Error biases in spoken
word planning and monitoring by aphasic and nonaphasic speakers: Comment on
Rapp and Goldrick (2000). Psychological Review, 111, 561-572. Article (PDF 150K)
WEAVER++/ARC on poststroke aphasia
An extension of WEAVER++ called WEAVER++/ARC (for WEAVER++ Arcuate Repetition and Conversation) synthesizes behavioral psycholinguistic, functional neuroimaging, tractographic, and aphasiological evidence. The model provides a computational implementation of a dorsal pathway view on aphasic language production. According to this view, conceptually driven word production, as involved in spontaneous speech and naming, as well as speech repetition are underpinned by a dorsal white-matter fiber tract in the human brain, called the arcuate fasciculus (AF). The AF arches around the Sylvian fissure, running from temporal to frontal cortex. The AF is much larger in humans than in nonhuman primates, and the cortical terminations of the AF are strongly modified, suggesting a human specialization that is relevant to the evolution of language (see the work of James Rilling and colleagues). It has long been assumed that this dorsal fiber pathway underpins both speech repetition and conceptually driven spoken language production, as underlying picture naming (e.g., Norman Geschwind, book Selected Papers on Language and the Brain, 1974). Another proposal, however, holds that a ventral pathway underpinned by the uncinate fasciculus (UF) and extreme capsule (EmC) fiber tracts is primarily responsible for spoken language production, whereas the AF primarily underlies speech repetition (see the Lichtheim 2 model of Matthew Lambon Ralph and colleagues). The results of computer simulations with WEAVER++/ARC revealed that the model accounts for the typical patterns of impaired and spared language performance associated with classic sudden-onset aphasias and one form of progressive aphasia (viz., semantic dementia). Moreover, the model accounts for evidence from patients with poststroke aphasia that damage to the AF but not the EmC/UF pathway predicts impaired production performance. These results demonstrate the viability of a dorsal-pathway account of language production. Roelofs, A. (2014). A dorsal-pathway account of aphasic language production: The WEAVER++/ARC model. Cortex, 59, 33-48. Article (PDF 1339K)
WEAVER++/ARC on aphasia caused by cerebral atrophy
The WEAVER++/ARC model has not only been applied to poststroke aphasia but also to aphasia resulting from neurodegenerative disease, including primary progressive aphasia (PPA). There are three major variants of PPA: nonfluent/agrammatic, semantic, and logopenic. Language impairment may also occur in the behavioral variant of frontotemporal degeneration as well as in Alzheimer's dementia and mild cognitive impairment. For an account of the history of research and discoveries on aphasia caused by neurodegeneration: Roelofs, A. (2023). Cerebral atrophy as a cause of aphasia: From Pick to the modern era. Cortex, 165, 101-118. Article (PDF 5044K) In a landmark article published in 1892, Arnold Pick argued that progressive diffuse atrophy of the brain may lead to focal disorders that resemble those due to stroke described by his contemporaries Wernicke and Lichtheim. The article reports on patient August H., who presented with progressive aphasia and circumscribed temporal lobe atrophy. To account for focal progressive disorders of language, Pick hypothesized "that simple progressive cerebral atrophy can also occasionally lead to the symptoms of a focal affection, perhaps through stronger local prominence of the diffuse process". To explain why the atrophy is circumscribed and leads to focal symptoms, Pick (1908) proposed an account in terms of a functional network, assuming that "occasionally such a systematically similar group of neurons, i.e., a system in the older sense, succumbs to atrophy earlier than the others, and as a result the function of this system fails in a completely isolated manner". Following the proposal by Pick (1892, 1908) and modern empirical insights, WEAVER++/ARC assumes that PPA arises from a progressive loss of activation capacity in portions of the language network with neurocognitive epicenters specific to each PPA variant.
Computer simulations revealed that the model captures the patterns of impaired and spared naming, comprehension, and repetition performance of the PPA variants, at both group and individual patient levels. Moreover, it captures the worsening of performance with progression of the disease. The model explains about 90% of the variance. Moreover, assuming a common semantic impairment, the model accounts for performance in semantic dementia, Alzheimer's dementia, and mild cognitive impairment, explaining 99% of the variance at the group level and 95% at the level of individual patients. The model also accounts for the common impaired performance in semantic dementia and behavioral variant frontotemporal degeneration, explaining 97% of the variance in naming and comprehension of 100 individual patients and predicting individual ratings of atrophy in the left anterior temporal lobe. Pick, A. (1908). Die umschriebene senile Hirnatrophie als Gegenstand klinischer und anatomischer Forschung [Circumscribed senile cerebral atrophy as an object of clinical and anatomical research]. In A. Pick (Ed.), Arbeiten aus der deutschen psychiatrischen Universitäts-Klinik in Prag (pp. 20–28). Berlin: Karger. Roelofs, A. (2022). A neurocognitive computational account of word production, comprehension, and repetition in primary progressive aphasia. Brain and Language, 227, 105094. Article (PDF 2399K) Roelofs, A. (2023). Accounting for word production, comprehension, and repetition in semantic dementia, Alzheimer’s dementia, and mild cognitive impairment. Brain and Language, 238, 105243. Article (PDF 2903K) Roelofs, A. (2023). Word production and comprehension in frontotemporal degeneration: A neurocognitive computational Pickian account. Cortex, 163, 42-56. Article (PDF 1581K) In 1904, Pick published three more cases, showing that a focal aphasia syndrome may arise from progressive atrophy of the left temporal lobe, with sparing of Wernicke's area. One of the patients described in much detail was Anna Jirinec. She presented with word production and comprehension difficulty and circumscribed atrophy of the left anterior temporal lobe, as demonstrated by photographs of her brain at autopsy.
|
Clockwise from above: Pick looking over my [A.R.] shoulder, the building where his clinic was in Prague, WEAVER++/ARC superimposed onto the brain of seminal patient Anna Jirinec, the cover (of my personal copy) of the 1908 book by Pick, and the apartment house in Prague where he lived.
Atrophy may affect the cerebral cortex as well as fiber tracts. Ventral fiber tracts of the human brain play an important role in mediating visual-semantic information processing and its top-down control. The WEAVER++/ARC model explains how naming depends on ventral tract integrity in PPA.
Janssen, N., Roelofs, A., Mangnus, M., Sierpowska, J., Kessels, R. P. C., & Piai, V. (2020). How the speed of word finding depends on ventral tract integrity in primary progressive aphasia. NeuroImage: Clinical, 28, 102450. Article (PDF 3049K) In 1907, two articles appeared on the neuropathology of what later came to be called Alzheimer's disease. One article was by Alois Alzheimer working in the laboratory of Emil Kraepelin (a former postdoc of Wundt) in Munich and the other by Oskar Fischer working in the laboratory of Arnold Pick in Prague. Alzheimer described plaques and tangles in the brain of one patient (Auguste Deter) and Fischer described the plaques in twelve patients. In 1911, Alzheimer reported on the neuropathology, i.e., spherical inclusion bodies and ballooned cells, underlying the circumscribed temporal lobe atrophy described by Pick, later called Pick bodies and cells. In 1913, in his book Die agrammatischen Sprachstörungen, Pick alluded to adaptation ("Adaption") and a law of economy ("Gesetz der Ökonomie") as principles underlying aphasic symptoms, which he applied in his final publication (which appeared in 1931) to the telegraphic ("Telegram") speech that is characteristic of agrammatism. There, he also subscribed to Karl Kleist's (1914) distinction between frontal lobe agrammatism and temporal lobe paragrammatism. Just as Max Isserlin (1922), Pick took the telegraphic style in agrammatism to be an adaptation to the damage rather than a direct reflection of it, as Kleist had assumed. "The patient tries to achieve the best possible result, which is most conducive to communication, with the least amount of work and through the best, but nevertheless automatic, adaptation of his language means" (Pick, 1931). The idea of telegraphic style as an adaptation is at the heart of the modern theory of agrammatism of Herman Kolk and colleagues: With the remaining reduced capacity, telegraphic (i.e., simplified, elliptical) speech can still be produced, whereas full-fledged sentences are beyond capacity. Kolk's theory provides the rationale for the SimpTell therapy app that aims to train elliptical style. Pick also advanced a stage theory of language production, foreshadowing the modern theories of Merrill Garrett and Pim Levelt that provide the general theoretical framework of the WEAVER++ model. Andrew Kertesz and Pavel Kalvach (Archives of Neurology, 1996) give a historical account of Arnold Pick and German neuropsychiatry in Prague. (Personal note A.R.: My work on progressive aphasia is dedicated to my parents, who both lost their language due to neurodegenerative disease)
WEAVER++/ARC on treatment effects in aphasia
Difficulties with word finding occasionally occur in all speakers, surfacing as pauses or errors, and commonly in all types of aphasia, often referred to as anomia. An understanding of anomia and its treatment-induced improvement is of fundamental scientific and clinical importance. Treatment employing semantic and phonological techniques has been successful in improving word finding and also functional communicative effectiveness. Phonological cueing involves the use of auditory cues that provide phonological information on the target word. For example, if a patient is unable to name a picture (e.g., of cat), spoken cues are given about the first sound (e.g., /k/) or the rhyme (e.g., /æt/) of the picture name, or the name itself is provided (e.g., /kæt/). In the literature, disagreement exists about the locus of the cueing effects in aphasia and whether the effects arise from the same neurocognitive mechanisms as phonological effects in picture naming by healthy speakers. To expand our understanding of treatment effects, and to examine whether a unified account of the phonological effects in health and disease is possible, computer simulations with WEAVER were conducted. The model successfully simulates treatment effects in behavioural naming performance and neural measures. The simulations provide a proof of concept for the idea that treatment effects of phonological cueing in aphasia arise from the same neurocognitive mechanisms as immediate phonological effects in healthy speakers. This expands our understanding of word finding, associated difficulties, and their improvement by therapy. Roelofs, A. (2021). Phonological cueing of word finding in aphasia: Insights from simulations of immediate and treatment effects. Aphasiology, 35, 169-185. Article (PDF 1451K)
WEAVER++ on reading and dyslexia
Since the seminal work of Martha Denckla and colleagues in the early 1970s (based on Norman Geschwind's hypothesis that color naming might predict reading), numerous studies have demonstrated that, in addition to phonological deficits, the majority of children with developmental reading disabilities also exhibit pronounced difficulties on naming-speed tasks, such as tests of "rapid automatized naming" (RAN). These tests require simple objects, colors, letters, or numbers to be named as quickly and accurately as possible. Naming speed is highly correlated with performance on word identification tasks, word reading efficiency measures, and measures of reading comprehension. Naming speed predicts later reading ability and helps identify risk at dyslexia in pre-literate children. Dyslexic readers are also known for their poor performance on Stroop color naming. Reading ability is negatively related to Stroop interference. Evidence suggest that attention mechanisms are critically implicated in reading and that disruption of these mechanisms may play a role in reading difficulties and dyslexia. WEAVER++ provides functional analyses of object, color, and digit naming as well as word reading, and the model makes explicit how attention determines naming and reading. Moreover, the model provides an account of Stroop task performance and explains the negative linear relationship between reading skill and Stroop interference. It has been suggested that RAN is related to reading because reading recruits object-naming circuits in the left cerebral hemisphere. WEAVER++ makes explicit the connection between reading and object naming, both in functional and anatomical terms. Roelofs, A. (2006). Functional architecture of naming dice, digits, and number words. Language and Cognitive Processes, 21, 78-111. Article (PDF 176K) Protopapas, A., Archonti, A., & Skaloumbakas, C. (2007). Reading ability is negatively related to Stroop interference. Cognitive Psychology, 54, 251-282. doi:10.1016/j.cogpsych.2006.07.003
WEAVER++ on specific language impairment Evidence suggests that (subclinical) attention deficits also contribute to the impaired language performance of individuals with specific language impairment (SLI). This is a disorder of language acquisition and use in children who otherwise appear to be normally developing. The disorder may persist into adulthood. Difficulties concern language production (expressive language disorder) or both production and comprehension (mixed receptive-expressive language disorder). The features of the impaired language performance in SLI are quite variable, but common characteristics are a delay in starting to talk in childhood, deviant production of speech sounds, a restricted vocabulary, slow and inaccurate word retrieval (e.g. in picture naming), and use of simplified grammatical structures, including frequent omission of articles or plural and past tense endings (for a review, see Laurence Leonard’s 1998 book Children with Specific Language Impairment). In general, individuals with SLI seem to have a problem in dealing with relatively complex language structures, in both speech production and comprehension. A prominent account of SLI holds that these difficulties with complexity in language reflect a reduced capacity of systems underlying language processes, resulting from a limitation in general processing capacity (see the work of Laurence Leonard and colleagues). Moreover, it is becoming increasingly clear that attention deficits contribute to SLI. Individuals with SLI appear to have reduced working memory capacity. Moreover, they may have deficits in sustained attention and attentional control. Capacity restrictions concerning language processes, working memory, and attention influence word planning in WEAVER++. For example, a capacity restriction in retrieving morphemes for a lemma may result in omission of inflectional morphemes, such as plural and past tense endings. This type of problem will be reinforced by capacity restrictions in working memory and attention. For word planning to be successful in the model, attention needs to be sustained until the phonological form has been planned and syllable motor programs may be accessed. Difficulties in maintaining attention will impede the planning process, especially when a complex mapping between levels is involved (e.g., such as the mapping between lemmas and morphemes). Janssen, D. P., Roelofs, A., & Levelt, W.J.M. (2002). Inflectional frames in language production. Language and Cognitive Processes, 17, 209-236. Article (PDF 246K) Levelt, W.J.M., Roelofs, A., & Meyer, A.S. (1999). A theory of lexical access in speech production. Behavioral and Brain Sciences, 22, 1-38. Article (PDF 693K) Roelofs, A. (1996). Serial order in planning the production of successive morphemes of a word. Journal of Memory and Language, 35, 854-876. Article (PDF 249K) Roelofs, A. (2006). Context effects of pictures and words in naming objects, reading words, and generating simple phrases. Quarterly Journal of Experimental Psychology, 59, 1764-1784. Article (PDF 172K) Roelofs, A., & Piai, V. (2011). Attention demands of spoken word planning: A review. Frontiers in Psychology, 2, article 307. Article (PDF 976K)
WEAVER++ on Donders' seminal study and a modern replication WEAVER++ has also been applied to the seminal RT data on speech repetition from Frans Donders and his students obtained in 1865 and from a modern replication (Roelofs, 2018). Speech production RTs were first measured 150 years ago. On Monday, August 21, 1865, Donders conducted his seminal study with the a-, b-, and c-methods (i.e., simple, choice, go/no-go) using a speech repetition task, reported in his landmark article three years later. In 1874, in his Grundzüge der physiologischen Psychologie, Wundt criticized the c-method by arguing that it does involve a choice (i.e., whether or not to respond), whereas Donders maintained that it may not involve full discrimination. A handwritten laboratory notebook of Donders was found to include unpublished data from him and his students. Analyses of these data revealed no b – c difference for his students, supporting Wundt's concern. Moreover, a modern replication of Donders' study using Donders' original stimulus lists yielded only a small b – c difference, supporting Wundt. Computer simulation with WEAVER++ of speech repetition under the a-, b-, and c-methods indicated that the difference between Donders and his students may plausibly result from choice in the c-method. Roelofs, A. (2018). One hundred fifty years after Donders: Insights from unpublished data, a replication, and modeling of his reaction times. Acta Psychologica, 191, 228-233. Article (PDF 666K)
Converging evidence for several of the assumptions implemented in WEAVER++ comes from simulations with the Wundt 2.0 model, which implements theoretical ideas from Wundt (1880, 1902/1904) about how attention controls naming. Assumptions shared between models include perceptual control throught distractor suppression and an architectural difference between naming and reading.
Roelofs, A. (2021). How attention controls naming: Lessons from Wundt 2.0. Journal of Experimental Psychology: General, 150, 1927-1955. Article (PDF 2577K) Wundt, W. (1904). Principles of physiological psychology (E. B. Titchener, Trans.). Swan Sonnenschein. (Original work published 1902) The Wundt 2.0 model has been implemented using the C programming language and the Microsoft Visual C++ environment. The simulation program is available from Ardi Roelofs or from the Open Science Framework (OSF) at https://osf.io/ue4bn/.
Orienting of attention in dual-task
performance
Spatial orienting of attention may occur overtly or covertly, that is, with or without gaze shifting. If the stimuli for one or two tasks have different
spatial positions, eye movements (gaze shifts) may need to occur between the stimuli. In an experimental paradigm used in my laboratory, speakers name
stimuli (e.g., a picture of a cat with the word DOG superimposed)
displayed on the left side of a computer screen and shift their gaze to an arrow (e.g., < or > flanked by two Xs) displayed on the right side of the screen to
manually indicate its direction, see figure below. WEAVER++ describes how an
attentional control process coordinates the multiple threads of processing in
vocal responding, gaze shifting, and manual responding:
Roelofs, A. (2007). Attention and gaze
control in picture naming, word reading, and word categorizing. Journal of Memory and Language, 57, 232-251. Article (PDF 311K)
Roelofs, A. (2008). Attention, gaze
shifting, and dual-task interference from phonological encoding in spoken
word planning. Journal of Experimental
Psychology: Human Perception and Performance, 34, 1580-1598. Article
(PDF 377K)
|
|
|
|
The model distinguishes between conceptual
preparation, lemma retrieval, and word-form encoding, with the encoding of
forms further divided into morphological, phonological, and phonetic
encoding. During conceptual preparation, concepts are flagged as goal
concepts. In lemma retrieval, a goal concept is used to retrieve a lemma from
memory, which is a representation of the syntactic properties of a word,
crucial for its use in sentences. For example, the lemma of the word cat
says that it is a noun. Lemma retrieval makes these properties
available for syntactic encoding processes. In word-form encoding, the lemma
is used to retrieve the morpho-phonological properties of the word from memory
in order to construct an appropriate articulatory program. For example, for cat
the morpheme <cat> and the speech segments /k/, /æ/, and /t/ are
retrieved and a phonetic plan for [kæt] is generated. Finally, articulation
processes execute the motor program, which yields overt speech.
Assume a speaker wants to name a picture of a cat with the word DOG superimposed. This involves the
conceptual identification of the picture based on the perceptual input and its
designation as goal concept (i.e., CAT(X)), the retrieval of the lemma of the
corresponding word (i.e., cat), and the encoding of the form of the
word (i.e., [kæt]). The final result is a motor program for the word
"cat", which can be articulated.
In performing the picture-word interference task,
aspects of word planning require attention. First, attentional (executive, cognitive) control is needed.
The system has to achieve picture naming rather than word reading ("goal
control") and the irrelevant input (the word in picture naming) has to be
suppressed ("input control").
In general, attentional
control may
engage
Real-world language use engages many components of language and cognition, and effective communication depends on interactions among several components. Thus, successful theories and models must treat all of these components in an integrated manner. The blueprint below (in Prussian blue) specifies how, according to the model, word planning relates to other cognitive abilities. |

|
|
|
Determining the neural substrates of word production components is not only of fundamental scientific importance but also of clinical relevance. For example, functional localization helps to understand poststroke and progressive aphasias and may assist in guiding brain surgeries that remove tumors or epileptic foci. According to the model, word planning and attentional control are underpinned by extensive networks of brain areas. The figure below shows a lateral view of the left hemisphere of the human brain. Declarative memory underlying word planning is associated with a network of temporal and frontal areas, including Wernicke's and Broca's areas. Picture naming is achieved through picture perception, conceptual identification, lemma retrieval, word-form encoding, and articulatory processing. Reading aloud minimally involves word-form perception, word-form encoding, and articulatory processing. The attentional control system (indicated by rounded rectangles) is associated with lateral and medial frontal areas (including the anterior cingulate cortex, ACC, not shown) and parietal cortex. Procedural memory, containing the if-then rules, is associated with the basal ganglia, thalamus, frontal cortex (including Broca’s area), and cerebellum. The procedural system mediates between the declarative associative network and the attentional system. It is assumed that the declarative and procedural knowledge is stored cortically, while subcortical structures, like the hippocampus and basal ganglia, mediate the learning of the declarative and procedural knowledge, respectively.
|

Roelofs, A., & Hagoort, P. (2002). Control of language use: Cognitive modeling of the hemodynamics of Stroop task performance. Cognitive Brain Research, 15, 85-97. Article (PDF 438K)
Homo Loquens: From monkey calls to human talking
We vocally communicate through speech but
also with our cries and laughs. Whereas speech is learned, cries and laughs
are innately specified. Such innate "calls" are observed in diverse
vertebrates, including fish, amphibians, reptiles, birds, and mammals.
Although the sound-producing organs differ (swim bladder in fish, syrinx in
birds, larynx in amphibians, reptiles, and mammals), vertebrates seem to
share a common brainstem and spinal cord organization for calls. Vocal
production learning is common in birds (songbirds, parrots, and hummingbirds), but only
humans, bats, cetaceans (dolphins, whales), and pinnipeds (seals) show
evidence of vocal learning among mammals. At least in songbirds and humans,
some of the forebrain pathways implicated in learned vocalization seem to
share homologous components.
Both human and nonhuman primates (monkeys
and apes) use their voice for communication. However, whereas an extensive
network of perisylvian and medial cortical areas—including the ACC in some
circumstances—is involved in the verbal vocal communication of humans (i.e.,
spoken word production), the only cortical area directly involved in call
production by nonhuman primates is the ACC (see the work of Detlev Ploog, Uwe
Jürgens, and colleagues). In nonhuman primates, the ACC plays a critical role
in the voluntary initiation and suppression of calls (e.g., fear, alarm,
aggression, and contact calls), which are all innate. The ACC also controls
the innate vocalizations (e.g., crying, laughing, pain shrieking) of humans.
The human ACC appears to be the cortical area where the evolutionary older
innate-vocalization system and the newer spoken-word production system meet
(see the work of Terrence
Deacon). For a description of some commonalities of ACC function across
call and word production, see
Roelofs, A. (2008). Attention to spoken
word planning: Chronometric and neuroimaging evidence. Language and Linguistics Compass, 2, 389-405. Article (PDF
327K)
|
|
|
|
Declarative pieces of information
("facts") about words are stored in a labeled associative network, part of the brain's long-term declarative memory system.
Labeled means that relationships between nodes are explicitly represented. Declarative memory has a relational organization (cf. Eichenbaum, 2012). The relational lexical network consists of three major strata: a conceptual stratum, a syntactic
stratum, and a word-form stratum, corresponding to the major planning steps.
The conceptual stratum represents conceptual facts as nodes and labeled links
in a semantic network. For example, the concept CAT is represented by the
node CAT(X) connected to ANIMAL(X) by an "is-a" link. The syntactic
stratum contains lemma nodes, such as cat, which are connected by a
"word class" link to nodes for their syntactic class (e.g., noun).
Another type of memory system that holds declarative information is working memory. In it, production goals, like the goal of naming a picture, are temporarily maintained.
|
|
|
|
Information is retrieved from the associative
declarative network by spreading activation. For example, a perceived entity (e.g., a cat)
activates the corresponding concept node (i.e., CAT(X)) in the network.
Activation then spreads through the network following a linear activation
rule with a decay factor d. Each node m sends a proportion r
of its activation to the nodes n it is connected to. For example,
CAT(X) sends activation to other concepts such as ANIMAL(X) and DOG(X) and
also to its lemma node cat.
WEAVER++'s lexical network is
accessed by spreading activation while condition-action rules (see below)
determine what is done with the activated lexical information depending on
the goal. When a goal is placed in working memory, processing in the system
is focused on those rules that include the goal among their conditions. The
rules mediate attentional influences by selectively enhancing the activation
of target nodes in the network in order to achieve mappings of targets onto
articulatory programs. For example, in naming a picture of a cat, the activation of the concept node CAT(X) is selectively
enhanced.
Attentional activation enhancements
The model assumes that the ACC
is implicated in the attentional enhancement of the activation of targets (rather than performing conflict monitoring, as is often assumed, see the work of Jonathan
Cohen, Matthew Botvinick, and colleagues). The attentional
control system determines how strongly and for how long the enhancements
occur, depending on the allocation policy (cf. Daniel Kahneman, Attention and Effort book, 1973; EPIC of David Meyer and David Kieras).
Attention is assumed to be sustained to word planning just as long as is needed
to achieve acceptable levels of speed and accuracy:
Roelofs, A., Van Turennout, M., &
Coles, M. G. H. (2006). Anterior cingulate cortex activity can be independent
of response conflict in Stroop-like tasks. Proceedings of the National Academy of Sciences USA, 103, 13884-13889. Article (PDF 350K) Roelofs, A. (2008). Tracing attention and
the activation flow in spoken word planning using eye movements. Journal of Experimental Psychology:
Learning, Memory, and Cognition, 34, 353-368. Article (PDF 285K) Roelofs, A. (2008). Attention, gaze
shifting, and dual-task interference from phonological encoding in spoken
word planning. Journal of Experimental
Psychology: Human Perception and Performance, 34, 1580-1598. Article
(PDF 377K) |
|
|
|
Procedural knowledge ("knowing how") is embodied by
condition-action (if-then) rules, part of the brain's long-term procedural memory system. The "if-side" of a rule specifies
a condition to be satisfied and the "then-side" of a rule specifies
an action to be performed when the condition is met.
|
|
|
Procedural knowledge is associated with, among others, the basal ganglia thalamocortical circuitry of the brain. This circuitry consists of a number of parallel loops that run from cortical areas (i.e., temporal, parietal, and frontal cortex, including Broca’s area) via the striatum (i.e., caudate nucleus and putamen) and the subthalamic nucleus to the globus pallidus and via the thalamus back to cortical areas, especially frontal cortex (including Broca’s area). The circuits enable the execution of an action (e.g., selecting a concept or a task set) whose condition (best) matches the current context and momentary goal. There is also a basal ganglia thalamocortical circuitry for the control of eye movements. The basal ganglia circuitry seems especially important for the learning and use of novel rather than expert procedural knowledge (see the work of Gregory Ashby and colleagues). Condition-action rules in procedural memory are taken to underlie both attentional control and more automatic processes in speaking.
The procedural
system is essential for translating declarative knowledge into action.
|
|
|
|
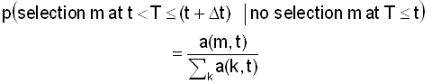
Verification means that selections in human performance are accomplished by explicit reference to goals: goal-referenced control. The condition-action rules from procedural memory carry out the selection of nodes in declarative memory. A rule is triggered when its nodes become active. During word planning, a lemma retrieval rule selects a lemma if the connected concept is flagged as goal concept. For example, cat is selected for the concept CAT if it is the goal concept and cat has reached a critical difference in activation compared to other lemmas, as illustrated by the animation below.
The
actual moment in time of firing of the rule is determined by the ratio of
activation of the lemma node and the sum of all the others. Thus, how fast a
node is selected depends on how active the other nodes are. In short, there is
activation-based triggering and firing of condition-action rules.
|
|
|
|
A morphological rule selects the morpheme
nodes that are connected to the selected lemma and its morphosyntactic parameter values, such as singular or plural (the stem <cat> is selected for cat + singular).
Phonological rules select the segments that are connected to the selected
morphemes (/k/, /æ/, and /t/ for <cat>) and syllabify the segments
(e.g., /k/ is made syllable onset: onset(/k/)) to create a phonological word representation. Finally, phonetic rules
select syllable-based articulatory programs that are appropriately connected
to the syllabified segments (i.e., [kæt] is selected for onset(/k/),
nucleus(/æ/), and coda(/t/)). The actual moment of selection of syllable program
nodes is also determined by a ratio of activations, such that how fast
selection occurs depends on how active other nodes are.
|
|
From Wilhelm Wundt via Watt at Würzburg
to WEAVER++ Although issues concerning
the attentional control of human performance were explored in the early days
of experimental psychology by Frans Donders, James McKeen Cattell, and Wilhelm Wundt (mental
chronometry), no real progress was made in understanding the mechanisms
of control (but see Wundt, 1880, 1902/1904). Associationist and behaviorist theoreticians, from David Hume to Burrhus Skinner, accounted for action selection by postulating
associations between stimuli and responses. However, if all our actions were
determined exclusively by stimulus-response associations, goals could not
determine which action to make because the strongest association would
automatically determine the response. Around 1900, the Würzburg school with
Narziss Ach, Oswald Külpe, and Henry Watt demonstrated the importance of the task ("Aufgabe")
in determining a response. However, how exactly task goals directed
processing remained unclear. In the 1910s, Georg Müller proposed an account in
associative terms, whereas Otto Selz proposed an account in terms of symbolic
structures and rules. Later theoretical developments are descendants of these
ideas. On the view that is still prominent in the attention and performance literature,
goals associatively bias or "sculpt" the activation of one response
pathway (e.g., for picture naming, in responding to the picture of a cat with the word DOG superimposed) rather than another (e.g., for oral reading),
following Müller. On another view, following Selz, and computationally
implemented in WEAVER++, attentional control arises from explicit
reference to goals, accomplished by condition-action rules. Pictures below
(from left to right): Henry Watt, Oswald Külpe, Otto Selz, and Allen Newell and Herbert Simon.
The idea of goal-referenced control that
originated with Otto Selz in the 1910s flourished in the work of Adriaan de Groot, Allen Newell and Herbert Simon, and John Anderson, among
others, on higher-level cognitive processes like problem solving (e.g.,
playing chess, proving logic theorems, and solving puzzles such as the Tower
of Hanoi), where associative models generally failed. However, due to the
traditional partitioning of experimental psychology into cognition,
perception, and action, with little communication across the boundaries, the
idea of goal-referenced control long has had little impact in the
perception-action literature. However, in the past few decades, goal-referenced control has made
successful strides into the attention and performance literature.
That goal-referenced control underlies
both problem-solving and performing Stroop-like tasks agrees with the strong
connection between attentional control and general intelligence (Charles Spearman's g, see the work of John Duncan and
colleagues, reviewed by Duncan in his 2010 book How Intelligence Happens). Solving intelligence-demanding problems, like the Raven Matrices or the Tower of Hanoi puzzle, involves working serially from one subgoal to another, each with focused attention, until the overall goal is achieved. Individual differences in general intelligence are most
pronounced in behavioral measures when attentional control is required (see
the work of Randall Engle and colleagues).
In his
dissertation work at Würzburg University, Henry Watt found that when verbal
responses of the same intrinsic speed were grouped together, a variation of
task had a similar effect across latency groups, although he did not quantify
this effect. He stated, "The influence of the task is independent of the rapidity of the tendency to reproduction
itself" (Watt, 1906, Journal of
Anatomy and Physiology, p. 260, original italics). Watt's regularity has been confirmed and quantified using modern techniques for analysing
response time distributions:
Roelofs, A. (2008). Dynamics of the
attentional control of word retrieval: Analyses of response time
distributions. Journal of Experimental
Psychology: General, 137,
303-323. Article (PDF 392K) |
|
|
|
Given the equations for spreading
activation and rule firing, the mathematically expected mean planning
latencies can be computed.
The model accounts not only for mean response times but also for characteristics of the shape of response time distributions, including measures related to variability and skewness (e.g., as assessed by ex-Gaussian and delta-plot analyses). San José, A., Roelofs, A., & Meyer, A. S. (2021). Modeling the distributional dynamics of attention and semantic interference in word production. Cognition. Article (PDF 4121K) |
|
|
|
Question: Why the name WEAVER?
Answer: Apart from providing a useful acronym (Word Encoding by Activation and VERification) and metaphor, it is accociated with an interesting (hi)story.
Weaving is a psychomotor skill performed already in very early times, known in the prehistoric era well before the ancient Egyptian and Greek civilizations. Weaving plays a prominent role in several Greek myths, including those featuring Arachne, Penelope, and Philomela. Arachne engaged in a weaving contest with the weaver goddess Athena, who transformed her into a spider, destined to weave forever. Penelope wove her design for a shroud by day but unraveled it again at night to keep her suitors from claiming her while waiting for Odysseus to return from the Trojan war. And Philomela, whose tongue was cut out after she was raped, used a loom as her voice to tell about her violation in a woven design. The link between weaving and communication is evident from the English word text, which is derived from the Latin word for weaving, texare. More recently, in the early nineteenth century, Jacquard’s invention of a programmable loom, which used punch cards with stored instructions for weaving patterns, led to the development of the modern computer (for a magnificent account, see James Essinger’s Jacquard’s web: How a Hand-Loom Led to the Birth of the Information Age, 2007). As Ada Lovelace (1843) stated about the Analytical Engine (the first proposed general-purpose computer) of Charles Babbage: "The Analytical Engine weaves algebraic patterns just as the Jacquard loom weaves flowers and leaves". It is important to note, however, that the "weaving" of words during speaking differs in a fundamental respect from most other human psychomotor skills. As Charles Darwin stated, "Man has an instinctive tendency to speak, as we see in the babble of our young children, whereas no child has an instinctive tendency to bake, brew, or write."
Question: Why computational modeling? Aren't intuitions or verbal verbal theories just as good?
Answer: This question is best answered by quoting Daniel Mirman and Allison Britt (2014, Philos Trans R Soc Lond), who stated that "intuitions and verbal theories are not enough because they can be claimed to predict (or not predict) just about anything. Computational models provide a concrete implementation of a proposed theory that can then be tested empirically to evaluate whether it truly accounts for the observed data" (p. 11).
Question: Why do we need labeled links? Answer: A mere associative link between two nodes tells
nothing about the relation between the entities represented. For example, the concept CAT(X)
is strongly associated with both DOG(X) and ANIMAL(X) but the relationship
between CAT(X) and DOG(X) is very different from the relationship between
CAT(X) and ANIMAL(X). The importance of explicitly representing the relation between
nodes was recognized by Otto Selz in the early 1900s, and
labeled link have become a central part of semantic networks in Artificial
Intelligence since the seminal work of Ross Quillian in the late 1960s.
Imagine the Internet without labeled (hyper)links!
Question: Why do we need condition-action rules? Wouldn't it be better to have a purely associative model?
Answer: There exists good evidence that language performance involves both declarative aspects (structured symbolic representations) and procedural aspects (if-then production rules), underpinned by the brain's declarative and procedural systems (e.g., the work of Michael Ullman and colleagues). Evidence suggests that condition-action rules underlie both the linguistic processes associated with the word planning stages (i.e., conceptual identification, lemma retrieval, word-form encoding) as well as executive control processes, associated with frontoparietal and basal ganglia thalamocortical networks in the brain (e.g., the work of Earl Miller and colleagues and John Duncan and
colleagues).
Answer: The term "autonomous" refers to at least two properties, which may hold independently: automaticity and informational encapsulation. That word planning components require some attention means that they do not run completely on their own resources. Processing components are informationally encapsulated if they operate with restricted knowledge only, mapping specific input onto specific output. For example, the phonological encoding component maps one or more morphemes onto a phonological word representation, requiring morpho-phonological knowledge but no other information, like semantics. Other researchers do not assume such informational encapsulation (e.g., Caramazza and colleagues assume that the management of the articulatory buffer uses semantic information). A processing component may be informationally encapsulated while not operating fully automatically, as is the case in WEAVER++. Similarly, Jerry Fodor (1983, The Modularity of Mind) assumes that "modules" are informationally encapsulated but presumably do not run fully automatically.
Answer: Here are a number of references: Roelofs, A. (2022). A neurocognitive computational account of word production, comprehension, and repetition in primary progressive aphasia. Brain and Language, 227, 105094. Article (PDF 2399K) Roelofs, A. (2018). A unified computational account of cumulative semantic, semantic blocking, and semantic distractor effects in picture naming. Cognition, 172, 59-72. Article (PDF 574K) Roelofs, A. (2014). A dorsal-pathway account of aphasic language production: The WEAVER++/ARC model. Cortex, 59, 33-48. Article (PDF 1339K) Roelofs, A. (2008). Dynamics of the
attentional control of word retrieval: Analyses of response time
distributions. Journal of Experimental
Psychology: General, 137,
303-323. Article (PDF 392K)
Roelofs, A., Van Turennout, M., &
Coles, M. G. H. (2006). Anterior cingulate cortex activity can be independent
of response conflict in Stroop-like tasks. Proceedings of the National Academy of Sciences USA, 103, 13884-13889. Article (PDF 350K)
Roelofs, A. (2003). Goal-referenced selection of verbal action: Modeling attentional control in the Stroop task. Psychological Review, 110, 88-125. Article (PDF 585K) Roelofs, A., & Hagoort, P. (2002). Control of language use: Cognitive modeling of the hemodynamics of Stroop task performance. Cognitive Brain Research, 15, 85-97. Article (PDF 438K) A complete list of articles that report on
WEAVER++ simulations can be found here.
|
|
Question: What programming language has been used for the
model, and is the program available? Answer: Most of the WEAVER++ and WEAVER++/ARC applications have been programmed in the C programming language using the Microsoft Visual C++ environment. These programs are available from Ardi Roelofs or from the Open Science Framework (OSF) at https://osf.io/ue4bn/. Applications in Python have been made by Aitor San José.
Track record of WEAVER++ (WEAVER++'s Web) |
|
|